长沙市加快转型创新发展指标体系研究
党的十八大强调科技创新是提高社会生产力和综合国力的战略支撑,必须摆在国家发展全局的核心位置,提出要实施创新驱动发展战略。长沙市委也把“在加快转型创新发展中走在前列”摆在全市“六个走在前列”大竞赛活动的首要位置。因此,科学认识和把握转型创新发展,对于指导经济发展方式转变,促进产业转型发展,培育经济发展内生动力,具有重要的现实意义。本文立足长沙发展实际,构建长沙市转型创新发展指标体系,通过指标体系来定量分析及时反映长沙市转型创新发展进程,提出了加快转型创新发展的对策建议。
一、长沙转型创新发展的研究背景
(一)转型创新发展的基本内涵。转型创新发展就是把创新和转变经济发展方式作为“调结构、促发展”的重要支撑和主攻方向,把理论创新、科技创新、文化创新、管理创新、制度创新和体制创新所带来的活力注入到提高内需、发展产业、调整结构、优化环境和改善民生等经济社会重点领域,从以资金、劳力、土地等生产要素驱动经济发展的方式,向以知识、人才、科技等创新驱动经济发展的方式转型;从以出口导向拉动经济发展的方式,向以内需为主导,消费、投资、出口三驾马车协调拉动经济发展的方式转型;从粗放型的经济发展方式,向集约型的经济发展方式转型;从以传统制造业为主力推动经济发展的方式,向以先进制造业和现代服务业“双轮驱动”的方式转型;从单纯追求GDP增长的发展方式,向“包容性增长”的发展方式转型;从“效率优先,兼顾公平”的发展方式,向效率公平并重、更多强调保障和改善民生的发展方式转型;从“先污染、后治理”的发展方式,向发展循环经济、推广低碳技术的可持续发展方式转型。
(二)长沙加快转型创新发展的现实意义。科学发展是党和国家确立的时代主题,加快转型创新发展是推动科学发展的必由之路,既是我国自身可持续发展的要求,也是适应全球经济可持续发展的大趋势。
当前,长沙经济社会发展正处在一个新的起点,呈现出新的阶段性特征,面临新的发展环境,如宏观经济环境越来越紧、资源刚性约束越来越强、区域竞争越来越激烈,需要实现新的发展目标。在此背景下,长沙经济社会发展由传统的发展方式向转型创新发展具有重大实现意义。
一是有利于保持经济持续健康发展,为率先建成“全面小康社会”和率先实现“基本现代化”提供物质保障。全面建成小康社会和基本现代化首要任务是发展经济,相对充足的物质条件是长沙全面建成小康社会和实现基本现代化的根本保障。因此,长沙经济仍需保持持续平稳较快增长,才能为到2017年全面建成小康社会和到2022年加快推进现代化两个奋斗目标提供必要的物质条件。在能源资源、土地资源、生态环境等刚性约束不断强化条件下,继续依靠要素驱动型增长模式难以为继,转型创新发展则成为长沙经济平稳较快发展的必经之路。
二是有利于经济发展和科技创新有效结合,为创建创新型城市提供内生动力。实现经济发展方式从要素驱动转向创新驱动的关键是提高技术创新的收益率。从国内外发达城市的经验来看,技术创新收益率的提高,有利于从根本上改善全社会技术创新的激励结构,形成各类主体创新活力迸发的氛围,进而改变长沙当前研发经费投入不足的状况。同时,有利于将创新活动转化为产业竞争力、提高长沙经济增长质量,进而在科技创新与经济发展之间形成良性循环,为创建创新型城市提供内生动力。
三是有利于减少对资源依赖和对环境破坏,为全国“两型社会”建设树立示范。从近年长沙能源消耗来看,长沙作为一个能源资源匮乏城市,近80%的能源需从外地调入,随着经济快速增长,长沙资源瓶颈日益突出。同时,长沙能源消费结构仍以煤、油、电等能源为主,清洁能源发展滞后,其中煤炭消费占40%以上,环境保护压力大。因此,长沙经济发展方式由要素驱动转向创新驱动是全市经济实现可持续发展的现实选择,有利于资源节约和优化配置,有利于有效降低单位GDP资源能源消耗,真正成为“资源节约、环境友好”的两型引领之市,为全省乃至全国“两型社会”建设起到示范和引领作用。
二、长沙转型创新发展指标体系设立原则及构建框架
(一)基本原则
长沙市转型创新发展指标体系的设置要求:一是全面准确地评价全市转型创新发展情况;二是指标体系可以评价全国、全省其他地区情况,便于比较;三是可以发现全市在转型创新发展过程中的薄弱环节和难点。因此,长沙市转型创新发展指标的选取应遵循以下原则:
1、科学性原则:在确定评价转型创新发展的过程中,指标体系要能够体现区域的真实情况,选取的指标能够客观反映经济发展产业转型升级、科技发展创新驱动能力、城乡统筹发展社会转型升级、生态文明转型升级和民生优先转型升级。
2、系统性原则:指标体系的确立必须兼顾各方面的要求,不但要包括经济结构调整、科技创新引领,还要包括城乡一体化、和谐发展等内容,各指标间既相互独立,又相互联系,共同构成一个有机整体。
3、可行性原则:选取的指标必须建立在科学、合理、规范的统计调查基础之上,遵循现有的统计调查制度,指标既有代表性又能便于搜集数据,指标的取得简便并具有可操作性。
4、可比性原则:“十二五”规划中,国内主要城市都把促进经济社会发展转型升级作为发展战略来提升城市综合竞争力。设置与其他城市在评价转型升级方面的相近指标,便于城市对比。
5、扩展性原则:转型创新发展的内涵和标准将随着经济社会的发展而不断丰富和延伸,因此评价指标体系必须一方面满足当前技术、经济与社会发展要求,又要适当兼顾未来技术与经济、社会发展要求,根据现实的发展情况进行调整与完善。
(二)基本框架
构建转型创新评价指标体系必须以科学发展观为指导,全面综合考量经济、社会、文化、生态环境、民生事业等方面,力求更加客观地反映长沙转型创新发展进程。指标体系包含创新驱动能力、产业转型升级、社会转型升级、生态转型升级、民生转型升级5个大类35项指标。
1、体现创新驱动能力的转型创新升级。创新驱动是长沙实现转型升级的必由之路,必须把创新驱动有效地转化为竞争优势和发展能力。新世纪以来,长沙通过几轮发展,已具备了实现转型创新发展的基础条件,下一步要按照省委对长沙提出的“在加快转型创新发展中走在前列”的要求,推进战略性新兴产业规模发展、跨越发展,推进传统产业高端发展、转型发展,推进服务业提速发展、联动发展,加快“两型社会”示范区建设。牢固树立科学技术是第一生产力、人才是第一资源的战略思想,把科技摆在经济社会发展的关键地位,持续增强自主创新能力,不断增强综合实力和竞争能力,把经济社会发展转移到依靠科技进步和创新的轨道上来,实现发展方式和发展战略的成功转型。选用科技进步贡献率、R&D经费支出占GDP比重、高新技术产业增加值占GDP比重、信息产业增加值占GDP比重、万人发明专利拥有量、万名从业人员中研发人员数、平均受教育年限等7项指标来反映科技创新转型升级水平,权重为21%。
2、体现经济发展质量的产业转型升级。发展经济是转型创新进程的基础与核心,持续稳定的经济增长是实现转型创新升级的关键。产业结构战略性调整是经济转型升级的重中之重,坚持先进制造业与现代服务业“双轮驱动”;坚持扩大消费需求,促进经济增长由主要依靠投资、出口拉动向依靠消费、投资、出口协调拉动转变;坚持新兴产业加快发展与传统产业改造提升“两手并重”;坚持提升现代金融业对经济增长的支撑作用。着力推动产业结构高端化高新化、经济成分多样化、产业布局合理化、产业发展集聚化。通过转型升级,初步建成以战略性新兴产业引领、先进制造业支撑、现代服务业发达的现代产业体系。选用人均地区生产总值、非公有制经济增加值占GDP的比重、服务业增加值占GDP比重、消费对经济增长贡献率、战略性新兴产业增加值占规模以上工业增加值的比重、先进制造业增加值占规模以上工业增加值的比重、金融业增加值占GDP比重等7项指标来反映经济转型升级水平,权重为21%。
3、体现城乡统筹发展的社会转型升级。社会结构的高度分化与高度整合,社会制度结构的持续调整、规范和优化,是社会转型升级进程的丰富内涵。协调推进工业化、城市化和农业现代化,建立以工业促进农业、以城市带动农村的长效机制,逐步缩小城乡差距,加快形成城乡发展一体化的新格局。以新型城镇化为导向,以建设国际文化名城和建成 “全面小康之市”、“两型引领之市”、“秀美幸福之市”为抓手,更高层次统筹区域发展,大力推进城乡发展转型,让城乡居民充分享受到改革的成果,使公共资源在城乡间的配置更加均衡,城乡空间形态更加合理,城乡关系更加协调。选取城镇化率、基尼系数、文化产业增加值占GDP比重、城乡居民人均拥有公共文化体育设施面积、社会安全指数、城市居民公共交通出行分担率、行政村客运班线通达率等7项指标反映社会转型升级水平,权重为19%。
4、体现两型社会理念的生态转型升级。生态转型升级的核心内容是以“资源节约、环境友好”的两型理念推进转型升级进程,实现经济发展和资源环境、生态保护的同步提升。围绕经济结构调整和转变发展方式,全力推动产业转型升级,优先发展生态工业、生态农业和生态服务业,逐步完善城乡生态建设,着力改善人居环境,提升生态文化意识,继续全力打造生态环境优美的“山水洲城”和“国家森林城市”,努力实现经济社会发展与生态环境保护的同步提升。选用单位GDP能耗、空气质量达标率、生活垃圾无害化处理率、城镇污水达标处理率、森林覆盖率、建成区绿化覆盖率、人均公园绿地面积等7项指标来反映生态转型升级水平,权重为20%。
5、体现幸福宜业宜居的民生转型升级。转型创新发展的最终落脚点应该体现在人的发展上面。致力于通过创业富民、政策惠民、保障安民、实事为民,把转型升级的成果更多地体现在提高城乡居民的实际收入水平上,更多地体现在提高城乡居民生活质量、精神文化消费需求和改善生活环境上,更多地体现在充分保障人民群众享有的政治、经济、文化、社会等各方面权益上,使人民群众生活更加幸福、工作更加安心、居住更加舒心。选用劳动者报酬占国民总收入比重、城乡居民人均可支配收入比、居民文化娱乐服务消费支出占消费总支出比重、城乡基本养老保险覆盖率、城乡基本医疗保险覆盖率、城乡居民千人拥有医生数、城乡居民千人拥有医疗卫生机构床位数等7项指标来反映民生转型升级水平,权重为19%。
(三)目标设定
1、科技进步贡献率:反映科技进步对经济增长的贡献程度,确立目标值68%以上。
2、R&D经费支出占GDP比重:反映科技投入强度,确立目标值3.0%以上。
3、高新技术产业增加值占GDP比重:反映产业竞争力水平,确立目标值30%以上。
4、信息产业增加值占GDP比重:反映产业竞争力水平,确立目标值5.0%以上。
5、万人发明专利拥有量:体现自主创新能力,确立目标值13件以上。
6、每万名劳动力中研发人员数:体现科研人才积聚能力,确立目标值200人以上。
7、平均受教育年限:反映人才科技创新能力,确立目标值12.5年以上。
8、人均地区生产总值:反映经济综合实力,衡量经济发展水平,确立目标值10万元以上(2010年价格)。
9、非公有制经济增加值占GDP比重:反映GDP经济成分结构,衡量市场经济活跃程度,确立目标值65%以上。
10、服务业增加值占GDP比重:反映产业结构状况,确立目标值45%。
11、消费对经济增长贡献率:反映需求结构状况,确立目标值45%以上。
12、战略性新兴产业增加值占规模以上工业增加值比重:反映产业竞争力水平,确立目标值45%以上。
13、先进制造业增加值占规模以上工业增加值比重:反映产业竞争力水平,确立目标值45%以上。
14、金融业增加值占GDP比重:反映经济运行过程中金融业对经济增长的支撑程度,确立目标值8%以上。
15、城镇化率:反映城乡统筹发展状况,确立目标值60%以上。
16、基尼系数:反映收入分配公平程度,确立目标值[0.3,0.4],允许下界限值为0,允许上界限值为0.5。
17、文化产业增加值占GDP比重:反映社会文化繁荣程度,确立目标值10%以上。
18、城乡居民人均拥有公共文化体育设施面积:反映公共文化体育事业发展水平,确立目标值3平方米以上。
19、社会安全指数:反映公众安全程度、对综治管理绩效的认可程度,确立目标值100%。
20、城市居民公共交通出行分担率:反映城市公共交通发展、城市交通结构合理性,确立目标值45%以上。
21、行政村客运班线通达率:反映农村居民出行方便程度,确立目标值100%。
22、单位GDP能耗:反映节能降耗状况和能源利用率,确立目标值为0.5吨标准煤/万元以下。
23、空气质量达标率:反映空气环境质量,确立目标值95%以上。
24、生活垃圾无害化处理率:反映生活垃圾无害化处理程度,确立目标值95%以上。
25、城镇污水达标处理率:反映城镇污水处理程度,确立目标值95%以上。
26、森林覆盖率:反映生态环境水平,确立目标值55%以上。
27、建成区覆盖率:反映建成区生态环境建设水平,确立目标值40%以上。
28、人均公园绿地面积:反映居民人均拥有公共绿地活动面积,确立目标值12平方米以上。
29、劳动者报酬占国民总收入比重:反映国民收入的初次分配中分配给劳动者的份额,反映社会财富分配的公平性,确立目标值55%以上。
30、城乡居民人均可支配收入比:反映城乡居民收入差距。确立目标值[1,2.8] ,允许下界限值为1,允许上界限值为4。
31、居民文化娱乐服务消费支出占消费总支出比重:反映居民精神文化消费需求,确立目标值8%以上。
32、城乡基本养老保险覆盖率:反映城乡居民基本养老保障水平,确立目标值100%。
33、城乡基本医疗保险覆盖率:反映城乡居民基本医疗保障水平,确立目标值100%。
34、城乡居民每千人拥有医生数:反映医疗保健水平,确立目标值3人以上。
35、城乡居民每千人拥有医疗卫生机构床位数:反映医疗保健水平,确立目标值8张以上。
(四)评价方法
长沙市转型创新发展评价指标体系的构建是一个全新的尝试,运用这套指标体系定量反映和分析长沙转型创新发展进程与趋势、对全市及区县(市)进行评价,乃至与其他城市横向比较,需要采取科学的评价方法,即目标年份的选择、指标值的处理、综合结果的评价。
1、目标年份选择
2017年长沙要率先建成全面建成小康社会,2022年要实现较快推进现代化的阶段性目标,全面建成小康社会和加快推进现代化都需要经济社会转型创新发展。因此,转型创新指标体系中目标值设立则以2022年作为目标年份,与加快推进现代化建设阶段性目标年份同步。
2、指标值的处理
第一步,数据处理。由于指标数据存在量纲差别,必须运用标准化方法对指标数据进行无量纲处理,其标准化处理方法如下。
正指标:如人均地区生产总值,其标准化处理的公式为:
Zi=Xi/Xm *100,结果大于100%,直接取100%
其中:Zi为标准化值,Xi为实际值,Xm为目标值
逆指标:如单位GDP能耗,其标准化处理的公式为:
Zi= Xm/Xi * 100,结果大于100%,直接取100%
其中:Zi为标准化值,Xi为实际值,Xm为目标值
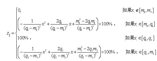
区间指标:如基尼系数、城乡居民人均可支配收入比,其实现程度计算公式为:

其中Zi为的评价值,Xi为实际值,[q1,q2]为指标的目标区间值,m1、m2为指标的一个允许下、上界限值。
第二步,指数计算。在给出目标值的基础上,对各个指标的实现程度进行评判,将各单项指标指数值按权重计算大类指数,将大类指数按权重计算得到转型创新发展的综合指数,从而得到总体实现程度。
第三步,实现程度评价。转型创新发展是一个循序渐进的过程,根据指标体系可以评价转型创新发展进程在不同阶段的实现程度。参照其他省、市转型创新体系研究成果,本体系将转型创新发展的进程划分为三个阶段:起步阶段,实现程度在60%-80%;成长阶段,实现程度在81%-90%;完成阶段,即为基本实现转型创新发展,实现程度在91%-100%。
三、长沙加快转型创新发展进程实证分析
(一)长沙转型创新发展总体实现程度。根据《长沙市加快转型创新发展指标体系》,从创新驱动能力、产业转型升级、社会转型升级、生态转型升级、民生转型升级等5个大类35项指标进行了统计监测。监测结果显示,2013年长沙转型创新发展实现程度为82.2%,属于转型创新发展成长阶段,其中创新驱动能力实现程度为82.5%、产业转型升级实现程度为81.5%、社会转型升级实现程度为79.6%、生态转型升级实现程度为88.9%、民生转型升级实现程度为78.3%。
1、创新驱动能力方面。2013年全市创新驱动能力实现程度为82.5%,是全市加快转型创新发展5个大类实现程度较快的方面。从创新驱动能力方面的7个指标来看,科技进步贡献率为52.4%,与目标值相差15.6个百分点,实现程度为77.1%;R&D经费支出占GDP比重为2.15%,与目标值相差0.85个百分点,实现程度为71.7%;高新技术产业增加值占GDP比重为21.0%,与目标值相差9个百分点,实现程度为70.0%;信息产业增加值占GDP比重为4.6%,与目标值相差0.4个百分点,实现程度为91.0%;万人发明专利拥有量为13.5件,超出目标值0.5件,实现程度为100%;万名从业人员中研发人员数为170人,与目标值相差30人,实现程度为85.0%;平均受教育年限为11.2年,与目标值相差1.3年,实现程度为89.5%。
2、产业转型升级方面。2013年全市产业转型升级实现程度为81.5%,是全市加快转型创新发展5个大类实现程度较慢的方面。从产业转型升级方面的7个指标来看,人均地区生产总值99570元(2010年价格为91078元),实现程度为91.7%;非公有制经济增加值占GDP比重为62.0%,与目标值相差3个百分点,实现程度为95.4%;服务业增加值占GDP比重为40.8%,与目标值相差9.2个百分点,实现程度为81.6%;消费对经济增长的贡献率为34.8%,与目标值相差10.2个百分点,实现程度为77.3%;战略性新兴产业增加值占规模工业增加值的比重为31.9%,与目标值相差13.1个百分点,实现程度为70.9%;先进制造业增加值占规模工业增加值的比重为40.6%,与目标值相差4.4个百分点,实现程度为90.2%;金融业增加值占GDP的比重为3.9%,与目标值相差4.1个百分点,实现程度为48.8%。
3、社会转型升级方面。2013年全市社会转型升级实现程度为79.6%,是全市加快转型创新发展5个大类实现程度较慢的方面。从社会转型升级方面的7个指标来看,城镇化率为70.6%,超出目标10.6个百分点,实现程度为100%;基尼系数为0.32,实现程度为100%;文化产业增加值占GDP比重为8.7%,与目标值相差1.3个百分点,实现程度为87.0%;城乡居民人均拥有公共文化体育设施面积为2.4平方米,与目标值相差0.6平方米,实现程度为80.0%;社会安全指数为78.9%,与目标值相差21.1个百分点,实现程度为78.9%;城市居民公共交通出行分担率为30.0%,与目标值相差15个百分点,实现程度为66.7%;行政村客运班车通达率为100%,实现程度为100%。
4、生态转型升级方面。2013年全市生态转型升级实现程度为88.9%,是长沙市加快转型创新发展5个大类实现程度最快的方面。从生态转型升级方面的7个指标来看,单位GDP能耗为0.5813吨标煤/万元,实现程度为86.0%;空气质量达标率为84.7%,与目标值相差10.3个百分点,实现程度为89.1%;生活垃圾无害化处理率100%,超出目标值5个百分点,实现程度为100%;城镇污水达标处理率为96.3%,超出目标值1.3个百分点,实现程度为100%;森林覆盖率为53.5%,与目标值相差1.5个百分点,实现程度为97.2%;建成区绿化覆盖率为39.0%,与目标值相差1个百分点,实现程度为97.4%;人均公园绿地面积为9.5平方米,与目标值相差2.5个百分点,实现程度为79.2%。
5、民生转型升级方面。2013年全市民生转型升级实现程度为78.3%,是全市加快转型创新发展5个大类实现程度最慢的方面。从民生转型升级方面的7个指标来看,劳动者报酬占国民总收入比重为37.3%,与目标值相差17.7个百分点,实现程度为67.8%;城乡居民人均可支配收入比为1.71:1,实现程度为100%;居民文化娱乐服务消费支出占消费总支出比重为4.8%,与目标值相差3.2个百分点,实现程度为60.0%;城乡基本养老保险覆盖率为84.0%,与目标值相差16个百分点,实现程度为84.0%;城乡基本医疗保险覆盖率为97.0%,与目标值相差3个百分点,实现程度为97.0%;城乡居民千人拥有医生数为3.2人,超出目标值0.2人,实现程度为100%;城乡居民千人拥有医疗卫生机构床位数为8.02张,超出目标值0.02张,实现程度为100%。
(二)长沙加快转型创新发展面临的问题
1、科技创新能力不强。近年来,在各项鼓励自主创新政策深入实施和科研项目大力开展的背景下,长沙市科技创新能力不断提高,科技对经济增长的贡献不断提升,但仍存在科技进步贡献率、R&D经费支出占GDP比重和高新技术产业增加值占GDP比重不高等问题。一是科技进步贡献率提升幅度缓慢。近5年长沙市科技进步贡献率年均提升幅度仅为1.3个百分点,到2022年科技进步贡献率要达到68%年均需提升1.7个百分点,难度较大,特别是要达到国际先进城市80%的标准难度更大。二是R&D经费支出占GDP比重不高。虽然全市R&D经费支出逐年增加,但R&D经费支出占GDP比重难以实现大的提升,一直维持在2.0%左右,2013年全市R&D经费支出占GDP比重为2.15%,要完成3.0 %的目标任务难度较大。三是企业自主创新意识不强。2013年全市规模以上工业企业中,未开展R&D活动企业的比重达82.5%,未设立科研机构企业的比重达89.6%,未形成自主知识产权科研成果企业的比重达85.2%。
2、服务业经济占比低。一是服务业经济总量偏小。从经济总量高于长沙的全国省会城市来看,2013年长沙经济总量上的差距主要体现在服务业上,除比沈阳少近200亿元之外,比其它城市均少1000亿元以上,与广州差距达7049亿元。二是服务业占GDP比重偏低。2013年全市服务业增加值占GDP的比重为40.8%。在全国26个省会城市中,有10个城市服务业增加值占GDP的比重超过50%,而长沙服务业增加值占GDP比重仅排全国省会城市第23位。从世界各国发展的历史经验来看,人均GDP超过7000美元的国家,服务业增加值占GDP比重一般都在60%以上,而长沙2013年人均GDP为16077美元,服务业增加值的比重仅为40.8%,远低于国际平均标准。
3、重点领域发展滞后。一是消费对经济增长贡献率呈回落趋势。从三大需求对经济增长的贡献率来看,2013年全市最终消费支出、资本形成总额、货物和服务净流出(国家层次为出口)对经济增长的贡献率分别为34.8%、61.1%和4.1%,消费对经济增长贡献率呈回落趋势并低于全国、全省平均水平,扩大内需是转型创新的重要战略基点,而扩大消费需求尤为重要,要促使经济增长由依靠投资、出口拉动向依靠消费、投资、出口协调拉动转变。二是战略性新兴产业带动作用不强。2013年全市战略性新兴产业增加值占规模以上工业增加值的比重为31.9%,对全市规模以上工业增加值增长的贡献率仅为15.2%,实现程度为70.9%。三是现代金融业发展缓慢。2013年金融业增加值在全国省会城市排第12位,与经济总量居第5位的南京、第6位的沈阳、第8位的郑州分别相差568.87亿元、118.20亿元和210.10亿元;金融业增加值占GDP的比重仅为3.9%,在全国省会城市排第23位。
4、公共服务水平有待提升。一是社会安全指数较低。2013年全市社会安全指数实现程度仅为78.9%,也是长沙全面小康社会监测进程中唯一低于全国、全省平均水平的指标。二是人均公园绿地面积偏低。人均公园绿地面积是城市建设用地、城市绿地系统和城市市政公用设施的重要组成部分,是展示城市整体环境水平和居民生活质量的一项重要指标。2013年全市人均公园绿地面积为9.5平方米,实现程度为79.2%,相对较低。三是城市居民公共交通出行分担率偏低。近年来,长沙市大力发展公共交通事业,加大了公共交通事业的投入,新增和优化调整多条公交线路,开通了东西方向地铁二号线,但仍不能满足市民公共交通出行需求。2013年城市居民公共交通出行分担率为30%,实现程度仅为66.7%。
5、分配和消费结构有待改善。一是GDP初次分配结构中劳动者报酬比重下降。2000-2013年全市GDP年均增速为14.5%,财政总收入年均增速为26.9%,但在GDP初次分配结构中劳动者报酬比重不断下降。2000年GDP结构中劳动者报酬占GDP比重为56.7%,2013年仅为37.3%,下降19.4个百分点。二是居民文化娱乐服务消费支出不高。虽然近年来长沙文化产业实现了快速发展,走在全国、全省前列,但反映居民精神文化消费方面的城乡居民文化娱乐服务支出占家庭消费支出的比重却呈回落态势,2013年全市居民文化娱乐服务消费支出占家庭消费支出的比重仅为4.8%,是转型创新发展指标体系35个指标中实现程度最低的一项,实现程度仅为60.0%。文化消费需求偏低也反映了受交通与通讯、住房、医疗等方面的物质性消费刚性需求挤压。
四、加快长沙转型创新发展的建议
虽然长沙转型创新发展总体实现程度取得了阶段性成果,35个监测指标中有22个监测指标实现程度超过90%,其中有12个监测指标实现程度达到或超过100%。但科技进步贡献率、R&D经费支出占GDP比重、消费对经济增长贡献率、战略性新兴产业增加值占规模工业增加值比重、金融业增加值占GDP比重、社会安全指数、城市居民公共交通出行分担率、劳动者报酬占国民总收入比重、居民文化娱乐服务消费支出占消费总支出比重等指标实现程度较低,是长沙转型创新发展的重点和难点,同时也是长沙能否率先实现“全面小康”和“加快推进现代化”的重点和难点。
1、实施创新驱动发展战略,提高科技创新驱动能力。在资源、生产要素等刚性约束越来越强、竞争越来越激烈的现实条件下,创新驱动对于转变经济发展方式,促进经济转型创新发展具有重要意义。因此,要实施创新驱动战略,通过制度创新和加大对研发投入等,着力提升科技对经济增长的贡献率、提升R&D经费支出占GDP比重和高新技术产业增加值占GDP比重。一是实施创新驱动发展战略。科技创新是提高城市综合竞争力的战略支撑,必须摆在长沙发展全局的核心位置。坚持创新发展理念、创新发展思路、创新发展模式,把创新发展贯穿于转型发展的各环节和全过程。坚持以全球视野谋划和推动创新,提高原始创新、集成创新和引进消化吸收再创新能力,更加注重协同创新。坚持以科技创新为主抓手,推动产业集群化、高端化发展,重点支持长沙支柱产业创新发展,着力培育汽车制造、电子信息、新材料、文化创意、现代金融等产业,形成多点支撑的发展格局。二是优化创新环境。创新驱动作为一种发展战略,由单一的市场、政府或者企业难以实现,需将创新上升到文化层面,在整个社会上营造出创新驱动的良好氛围,促使创新转化为生产力,推动经济的发展。强化政府在创新驱动中的参与作用,提供良好的法制法规、政策保障和舆论支持,完善创新活动软环境;建立公平竞争的市场环境,打击行业垄断,破除贸易壁垒。三是明确企业创新主体地位。以市场为导向,把企业真正放在主体地位,推动科技和经济紧密结合,加快建设长沙创新体系;加强产、学、研合作,把企业的重大科技需求列入政府重大科技计划,财政要加大对全市科技扶持力度和引导作用,促使企业广泛建立技术研发与创新联盟;加强科技公共服务平台和科技创新创业载体建设,培育具有自主知识产权、引领产业发展的重大战略产品。
2、注重重点领域转型创新,促进产业转型升级发展。推进重点领域的转型创新发展,带动整个产业转型创新发展是构筑发达现代产业体系的有效途径。一是推进传统优势制造业升级。围绕工程机械、汽车及零部件、电子信息、家用电器、生物医药、新材料等行业,集聚创新资源,构建以企业为主体,以市场为导向,产学研相结合的技术创新体系,着力突破重点产业、重点领域、关键技术和核心技术,培育和形成一批具有自主知识产权的技术及产品,加速推动传统工业改造和优化升级,构筑现代产业体系。二是培育战略性新兴产业。大力培育和发展先进装备制造产业、新材料产业、文化创意产业、生物产业、新能源产业、信息产业、节能环保产业等战略性新兴产业,把战略性新兴产业培育成长沙的主导产业,提升战略性新兴产业对长沙经济的带动作用。三是大力发展服务业。在加大新型工业化、城市现代化、农业产业化的同时,把服务业发展放在更加突出的战略位置,加大对服务业发展的顶层设计,为服务业发展营造良好的发展环境,着力推进现代服务业发展,不断提升服务业经济总量占GDP比重,逐步形成“二三产业共同拉动、多行业共同支撑”的经济发展新格局。四是大力发展现代金融业。确立“区域发展、金融先行”的发展战略,制定长沙金融业发展中长期专项规划。对金融业实行差异化发展、错位发展的思路,通过8-10年时间将现代金融业打造成为长沙经济发展支柱产业,做到金融业增加值占GDP比重达到8%以上,为长沙现代产业体系提供强大的金融支撑。五是提升消费对经济增长的贡献。优化消费环境,培育多层次消费市场,努力提高居民消费能力,积极培育发展住房、汽车、旅游、通讯、文化、食品6个消费热点。进一步刺激汽车、家电等消费,鼓励普通商品住房消费,增强住房、汽车消费对整个消费的带动作用。
3、提升社会公共服务水平,完善社会转型升级基础。以推进公共服务整体发展为切入点,化解矛盾、改善民生,促进社会和谐,进一步推进公共服务发展,满足人民群众日益增长的公共服务需求,增加人民福祉、促进政府职能转变、维护社会稳定。一是创新公共安全管理方式。大力推进法治长沙、平安长沙建设,创新社会管理,促进社会管理法治化、网格化、长效化;加大综合治理力度,依法防范和打击违法犯罪活动,进一步增强人民群众的安全感,提升社会安全指数。二是加大公共服务体系建设。加大对公共交通、公共绿化、公共通信、公共教育、公共文化、公共卫生等社会事业的建设,满足人民群众日益增长的公共服务需求,使更多群众享受到发展成果。利用好税收、财政转移支付等手段,完善经费投入保障机制,有针对性地加大对城市公共交通出行事业和城乡居民公共文化体育设施的投入。重点统筹好区县之间、城乡之间公共服务体系建设,对宁乡县、浏阳市、望城区的公共服务财政投入和资源配置给予政策倾斜,努力实现基本公共服务均等化。
4、倡导“两型社会”发展理念,推进生态文明转型升级。以资源节约、环境友好的“两型”发展理念为取向,研发应用绿色发展技术,大力发展循环经济、低碳经济和绿色经济,强化资源环境综合高效利用和保护,推进生态文明转型升级。一是发展循环经济。以提高资源产出效率为目标,推进生产、流通、消费各环节循环经济发展。开发应用资源循环利用技术、绿色生产技术、工业循环生产技术、农业循环生产技术等关键技术,推广循环经济典型模式,鼓励和支持各领域的清洁生产。二是发展节能环保产业。突破一批节能减排关键、共性技术,积极抢占节能减排前沿技术制高点;加快节能减排先进技术的推广,推进节能减排关键设备和产品的示范应用,带动生态环保产业的快速发展。三是强化环境保护。重点研究开发应用城市污水处理关键技术,烟气脱硫技术和成套设备,城市垃圾资源化利用与处理关键技术和设备,环境监测技术和设备,加强环境保护,建设生态宜居城市。
5、完善收入分配、消费结构,统筹推进民生转型升级。收入分配制度的失衡与失范,将直接影响居民收入水平和消费结构,对区域的转型创新发展有一定的制约作用。因此,要在加快经济发展的同时,把不断提高城乡居民的物质文化生活需求和精神文化生活需求放在发展全局的优先位置,实现发展成果由人民共享。一是完善收入分配制度。坚持在发展中提高城乡居民收入,努力实现居民收入增长和经济发展同步、劳动报酬增长和劳动生产率提高同步,深入推进收入分配制度改革,提高分配制度的公平性和合理性,提高初次分配中劳动报酬占国民收入的比重,扩大中等收入群体,提高社会保障水平。二是缩小居民收入差距。坚持在转型创新发展中缩小城乡居民收入差距,让广大人民群众共享转型发展成果,对经济发展相对缓慢的农村加大支持力度,在农村和农业的基础建设,医药卫生、文化体育等方面予以更大倾斜,最大限度地缩小城乡居民收入差距,实现共同富裕。三是提升居民精神文化消费需要。在发展中推动居民精神文化建设,在提高居民收入同时,努力提升居民精神文化生活水平和质量,引导居民追求精神文化享受和健康娱乐消费,开展形式多样的文体娱乐活动,丰富居民文化生活,让居民生活从基本小康向更高层次的全面小康迈进。

[供稿:长沙市统计局刘亦彪]
[审核:刘雁]
[责编:张艳]